"Princípios de Análise Matemática Aplicada"

Textos Complementares

Sobre o paradoxo de Banach-Tarski

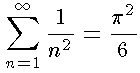
Demonstração de que


Voltar ao inicio da Análise Matemática Aplicada

VOLTAR AO PRINCíPIO DE TUDO


Última alteração: 22 de Novembro de 1997